為了構成集成電路電阻,可以淀積一層具有阻值的薄膜在硅襯底上,然后運用圖形曝光技術和刻蝕定出其圖樣,也可以在生長于硅襯底上的熱氧化層上開窗,然后寫入(或是渙散)相反導電型雜質到晶片內,圖14.3閃現運用后者方法構成的兩個電阻的頂視圖和截面圖,一個是曲折型,另一個是直條型.
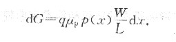
首要考慮直條型電阻.在距表面深為х處、平行于表面厚度dχ的p型材料薄膜層的微分電導dG(如B-B截面所示)為式


中w是直條的寬度,L是直條的長度(假定先忽略端點的觸摸面積),μp是窄穴遷移率,p為摻雜的濃度,這個直條型電阻的悉數寫入區的電導為


此處xi是結深度.假定",的值(為空穴濃度的函數)和p(χ)散布是已知的,則由式(2),可以求得悉數電導為
此處,一個正方形電阻的電導,也就是當L=w時,G=g.因此,電阻為


此處l/g通常用符號R口定義,稱為薄層電阻(sheet resistance,又稱為方塊電阻).薄層電阻的單位是Q,但習慣上以歐/方塊(Ω/口)為單位.


由如圖14.3所示的掩模版定義出不同的幾何圖樣,可同時在一個集成電路中制造出許多不同阻值的電阻.因為對所有電阻而言工藝步驟是相同的,因此將電阻值的大小分成兩部分是很方便的:由離子注入(或是擴散)工藝決定薄層電阻(R□);由圖樣尺寸決定L/W 例.一旦R口已知,電阻值可以由L/W的份額得知,或是由電阻圖樣中的方塊數目得知(每個方塊的面積為WXW).端點觸摸面積會添加額定的電阻值至集成電路電阻中,就圖)4.3中類型的電阻,每個端點觸摸對應到大概o.65個方塊.對曲折型電阻而言,在曲折處的電場線散布不是均勻地跨過電阻的寬度,而是密布于內側的轉角處.因此在曲折處的一個方塊并不精確地等于一個方塊,而是約為o.65個方塊.
烜芯微專業制造二極管,三極管,MOS管,20年,工廠直銷省20%,1500家電路電器生產企業選用,專業的工程師幫您穩定好每一批產品,如果您有遇到什么需要幫助解決的,可以點擊右邊的工程師,或者點擊銷售經理給您精準的報價以及產品介紹
烜芯微專業制造二極管,三極管,MOS管,20年,工廠直銷省20%,1500家電路電器生產企業選用,專業的工程師幫您穩定好每一批產品,如果您有遇到什么需要幫助解決的,可以點擊右邊的工程師,或者點擊銷售經理給您精準的報價以及產品介紹

