在放大電路中,引入反饋使放大器的放大倍數減小為負反饋。反之,使放大器的放大倍數增大為正反饋。正反饋雖然能提高放大倍數,但會使放大器的性能變壞,在放大電路中應用很少,一般只在振蕩脈沖電路中采用。而負反饋雖然使放大倍數有所下降,但它卻能改善放大器的性能,因此應用比較廣泛。
在放大電路中,引入電壓負反饋,將使輸出電壓保持穩定,其效果是減小了電路的輸出電阻;而電流負反饋將使輸出電流保持穩定,因而增大了輸出電阻。在放大電路中,引入并聯負反饋可使放大電路中輸入電阻減小,并聯負反饋是把反饋電流與輸入電流并聯起來,其作用是削弱輸入電流;而串聯負反饋可使放大電路中輸入電阻增大及把反饋電壓與輸入電壓串聯起來,其作用是對輸入信號電壓起削弱作用。
放大電路負反饋可以提高放大倍數的穩定性,引入負反饋以后,放大電路放大倍數穩定性的提高通常用相對變化量來衡量。
因為: 

所以求導得:

即:

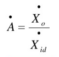
基本放大電路的放大倍數為:

反饋系數為:
烜芯微專業制造二極管,三極管,MOS管,橋堆等20年,工廠直銷省20%,4000家電路電器生產企業選用,專業的工程師幫您穩定好每一批產品,如果您有遇到什么需要幫助解決的,可以點擊右邊的工程師,或者點擊銷售經理給您精準的報價以及產品介紹

烜芯微專業制造二極管,三極管,MOS管,橋堆等20年,工廠直銷省20%,4000家電路電器生產企業選用,專業的工程師幫您穩定好每一批產品,如果您有遇到什么需要幫助解決的,可以點擊右邊的工程師,或者點擊銷售經理給您精準的報價以及產品介紹

